-
LOSS, likelihood확률 및 통계 2022. 1. 24. 14:00


row-wise highest probability = y_i
y에서 시작해서 w 로 감

product of likelihood for everyone



두번째 식의 SUM 은 세번째식의 diagonals 의 합과 같다(대각행렬)

L2 패널티 이용ㅈ
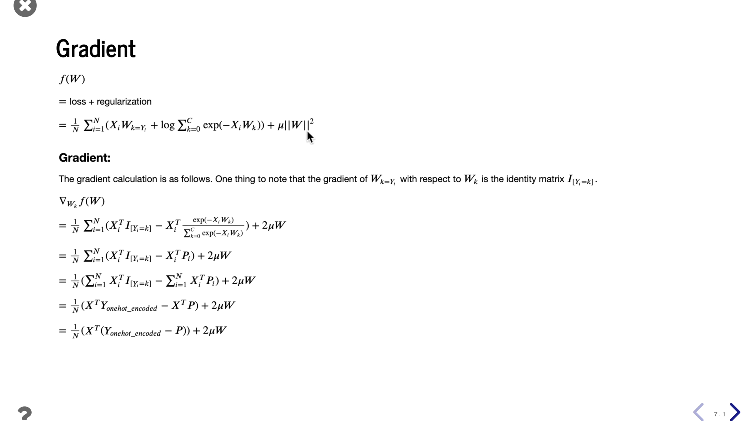
W_k=Y_i 를 W_k 에 대해서 gradient 를 한 값은 identity matrix 이다.
yi = k 일때 1 이고 그렇지 않다면 0 을 취합니다
'확률 및 통계' 카테고리의 다른 글
정규화 ridge(L2), lasso(L1) 와 ElasticNet 의 차이 (0) 2022.01.24 joint probability 결합확률 = 조건부확률 *( 예상 확률 ) (0) 2022.01.24 Cross Entropy (0) 2022.01.24