홈
태그
방명록
질문/수정요청
코딩파이썬
분류 전체보기
CodingPython
Visualization
오늘의 주식은?
자율주행스터디
CS231n
EX
TalyorSeries
TQQQ
확률 및 통계
NLP
작은 연구소
ABOUT ME
-
트위터
인스타그램
Today
-
Yesterday
-
Total
-
파이토치
파이토치
메뉴
검색
컨텐츠 검색
블로그 내 검색
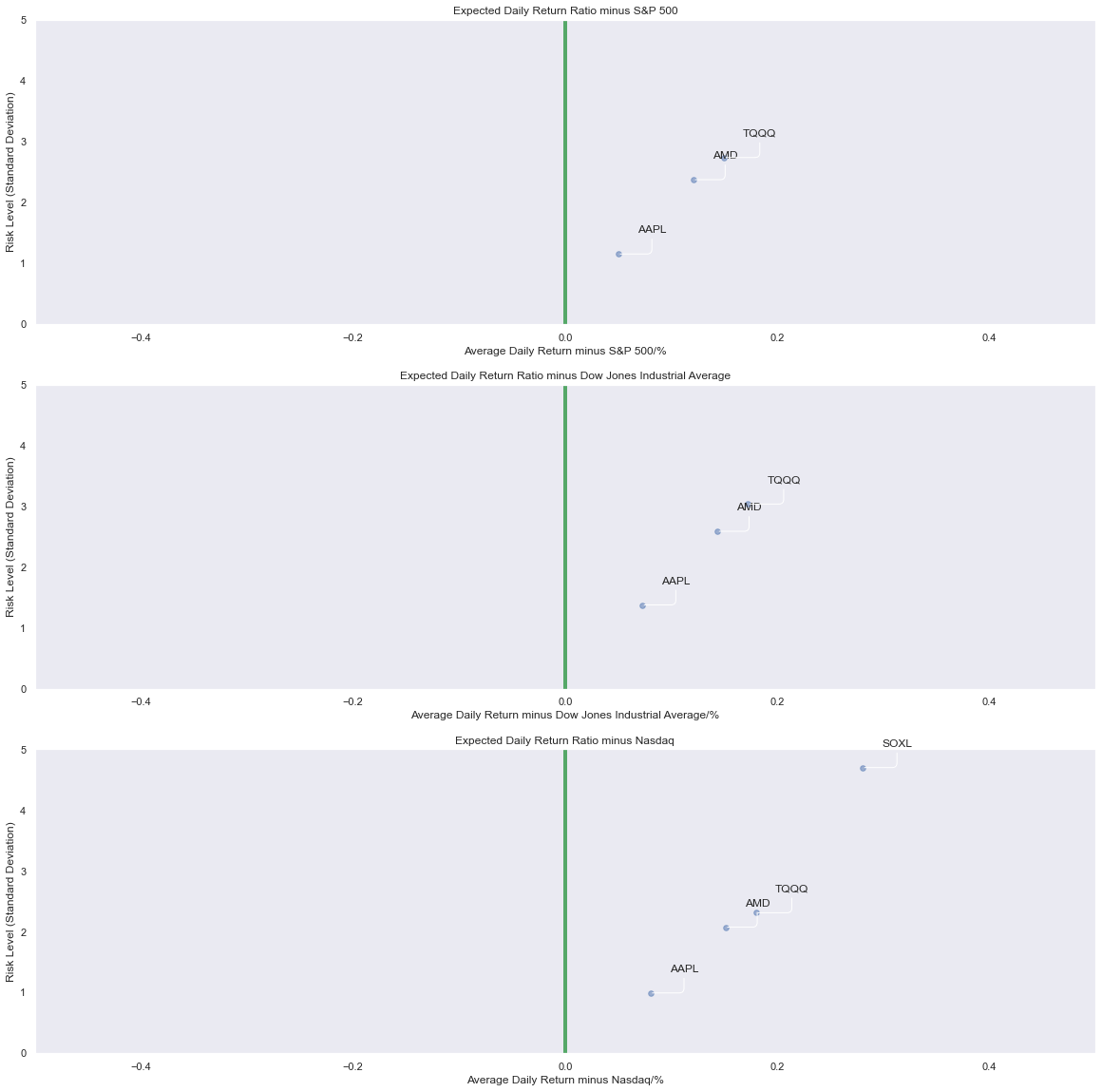
AAPL,AMD,TQQQ,SOXL 예상수익률(S&P500과 비교)
Visualization
2022. 1. 17. 23:06
공유하기
게시글 관리
파이토치
저작자표시
비영리
변경금지
(새창열림)
티스토리툴바
파이토치
구독하기