-
tqqq 이번년도 50프로 하락 가능성 존재하지만...CodingPython 2022. 1. 14. 13:11

tqqq 5일 동안 홀드했다가 팔았을 때의 수익률(snp 500 과 비교!)

5일간의 수익률을 보았을때 지금장은 18년도 3월장과 비슷하다 고점에서 24프로 정도 하락했다.

7일동안 홀드했을 때

10일 동안 홀드했을때 코로나 같은 블랙스완 빼놓고는 시간이 약이다!!!!
-2 가 뜨면 즉시 탈출하라!!!!!!!
!!!!!!!!!!!!!!!!!!!!!!(-2%가 아님. (tqqq의5일 수익률 - snp500의 5일 수익률 )의 *100 이 -2 일때 탈출하라 )
방금 구글 5일 수익률보고 왔는데 그게 아닌거같다. 파이썬으로 돌려봐야 정확하다.

15일 동안 홀드했을 때



TQQQ는 snp500과 친하지 않다!!!
굉장히 야수의 종목인데, 21년 9월 그래프를 보겠다
이때 35프로 가까이 떨어지게 된다!
빨간색은 안좋은 뜻이군
그렇다면 2020년 3월 기준으로 12개씩 나눠서 본다. 그 이전 12개 는 합이 0.56, 그 이후 3월 포함 12개는 합이 1.26으로 두배 차이가 나게 된다 그 이후 합은 0.59이다(지금까지) 그렇다면 대략 이전 2019년도 같은 느낌으로 간다면 -0.03정도 더 빠질 수 있으며, 이것은 19년 8월과 같은 정도로 최대 6퍼센트, 평균 3퍼센트 정도를 견뎌라 일단...도중에 fomc가 너무 안좋게 나오면 던져라.
2018년도 기준으로 간다면 12개의 합이 0.16 이므로 지금보다 0.43 마이너스가 될 수 있다!
그렇다면 양적긴축이 하반기에 온다고 했을 때, 2017년과 2018년도의 합의 평균인 0.35수준으로 2022년도가 운영이 될 수 있다
그렇다면 0.59에서 0.35까지 0.24 정도가 빠질 수 있으며! 아직 남아있는 하방의 압력이 존재한다
그렇다면 -0.24정도는 18년 10월과 같은 형태이며 이 때 , 56프로 정도가 하락하게 된다
이번 년도는 다행히 2019년 정도로 간다면 오히려 단기적으로 상승하다가 하방으로 횡보장이 될 수 있었으나,
양적긴축을 더 빨리한다면 올해에만 단기적으로 56프로의 하락을 경험하게 될것이다
이때 단기적으로라는 말이 중요한데 언제나 빠질 날은 언제인지 모르며, 그것은 fomc 결과에 따라 보여지게 된다
actually, 두개 칸 밖에 안남은 상황이라 지금은 아마 19년도 같은 느낌의 12개 합으로 갈 가능성이 높으며 -0.05 정도만이 현재 남아있는 하방이며 여기에서 깨질경우에는 빅쇼트가 두달안에 오게된다. 그렇다면 아까 말했던 마이너스 50프로가 떨어지게 된다







아마존 주 식 ! 초창기에는 테슬라와 비슷한 흐름을 보인다!!!
밑 데이터는 tqqq 데이터!!!
month 1 0.55 2 0.54 3 0.21 4 0.89 5 0.39 6 0.55 7 1.17 8 0.73 9 -0.17 10 0.51 11 0.88 12 0.04 dtype: float64

행 단위로 더한 값이다!!!
보통 12월 달과 3월, 9 월에는 하지 않는 것이 좋아보인다!
그렇다면 년도별로 보기위해서 열 단위로 봐보자!

와우 안타깝게도 빅쇼트의 2022년이 펼쳐지고 있다
18년도의 0.02 에 근접하게 갈 듯하다. 다만 2020년과 2021년, 2019년을 다 합치면 3.05이므로
1.39정도되는 2015,2016,2017년의 데이터로는 부족하다. 아마도 양적긴축 시작한 해부터 더해서 똑같아지면 한번 빅쇼트가 오는 것 같다.

반도체 3배 레버리지
18년도 4월과 비슷한 느낌인거같다(지금장이)
실제로 이 때 하반기 2주동안 22프로 떨어지게 된다 (tradingview)

우리는 양적긴축이 이루어진 17년도 말을 중점적으로 보도록 한다
버크셔 해셔웨이 b 클래스 주식이 낫다(MDD 로 보았을 때)

이건 나무 etf 인데 대체로 snp 500을 따르는 것을 보여주며, 하락장도 별로 없다는 것을 알 수 있다
소소한 재미를 원한다면 또 하락장을 못 견딘다면 wood 를 추천한다
아 그리고 여러 사진을 보며 느낀점인데 부자들은 -0.2만 떠도 안된다
그래서 snp 와 -0.2 의 상관관계를 가지고 있으면 그 주식은 일단 제껴서 투자한다 지금같은 장은

뱅크오브 아메리카

17년 말에 은행주들이 snp500보다 나은 점을 볼 수 있다
코로나 같이 예상하지 못한 블랙스완은 다 못피한다
마스터카드는 요즘 변동성이 커지고 있어 서 뱅오아를 더 추천한다 버핏의 픽이기도 하다
일단 나도 물려있어서 다같이 손을잡고 기도메타로 가보자...!



import numpy as np
import matplotlib.pyplot as pltimport pandas as pdimport pandas_datareader.data as webfrom datetime import datetimeimport seaborn as sns
def stock_anaysis(tick_list, yr_len, end = datetime.now()):start = datetime(end.year - yr_len,end.month,end.day)tick_rate_df = web.DataReader(tick_list,'yahoo',start,end)['Adj Close'].pct_change()indexes = web.DataReader(['^GSPC','^DJI','^IXIC'], 'yahoo', start, end)['Adj Close'].pct_change()
SNP = rate_difference_df(index = indexes['^GSPC'], tickers = tick_rate_df)*100SNP.name = 'S&P 500'DOW = rate_difference_df(index= indexes['^DJI'], tickers = tick_rate_df)*100DOW.name = 'Dow Jones Industrial Average'Nasdaq = rate_difference_df(index = indexes['^IXIC'], tickers = tick_rate_df)*100Nasdaq.name = 'Nasdaq'
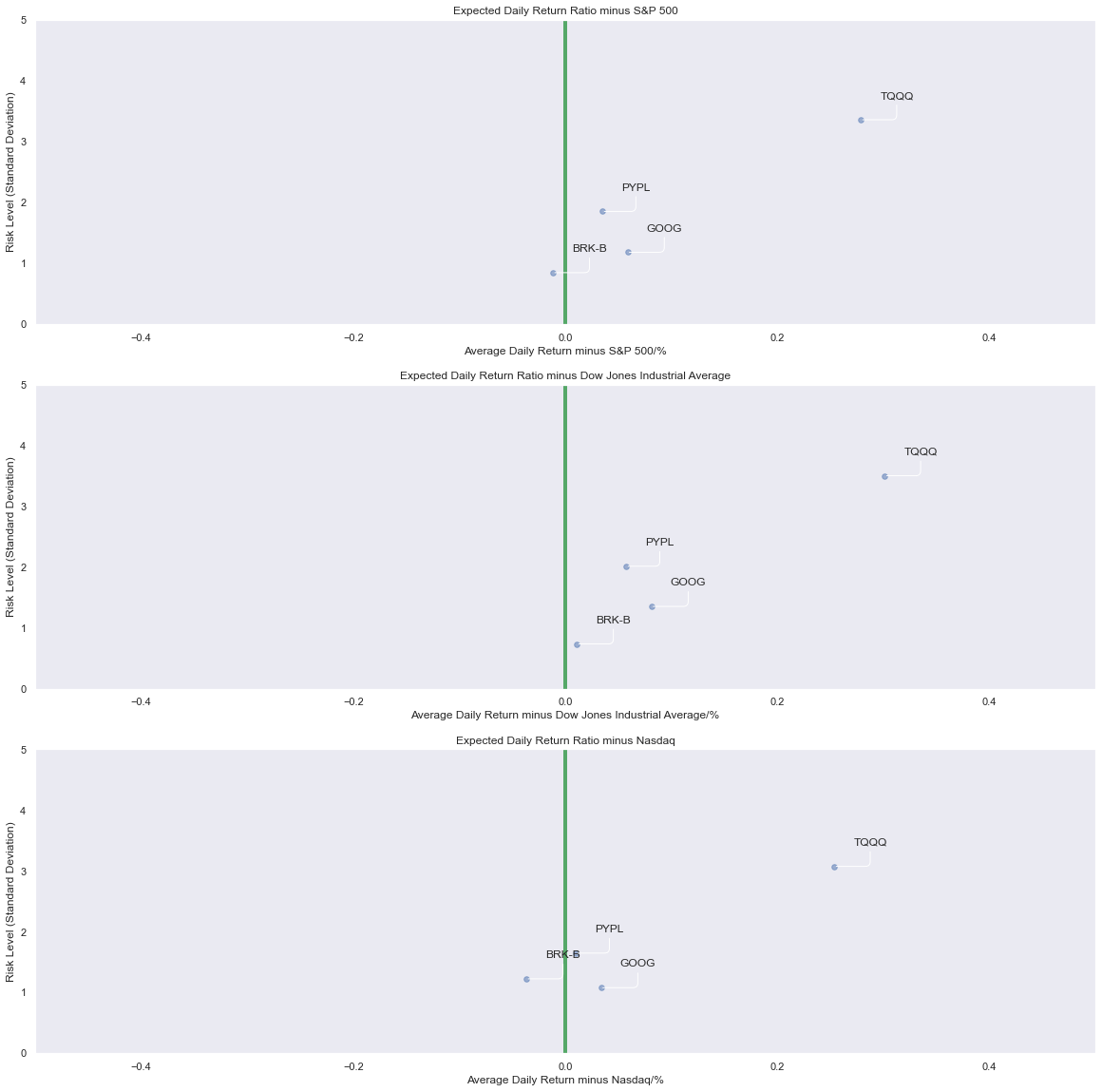
f = plt.figure(figsize=(10,30))f.add_subplot(311)draw_a_plot(SNP)f.add_subplot(312)draw_a_plot(DOW)f.add_subplot(313)draw_a_plot(Nasdaq)plt.show()
def draw_a_plot (tick):area = np.pi*10plt.scatter(tick.mean(), tick.std(),alpha = 0.5,s =area)plt.ylim([0,5])plt.xlim([-0.5,0.5])plt.title(f'Expected Daily Return Ratio minus {tick.name}')plt.xlabel(f'Average Daily Return minus {tick.name}/%')plt.ylabel('Risk Level (Standard Deviation)')plt.axvline(x=0, linewidth=4, color='g')
for label, x, y in zip(tick.columns, tick.mean(), tick.std()):plt.annotate(f'{label}',xy = (x, y), xytext = (50, 50),textcoords = 'offset points', ha = 'left', va = 'bottom',arrowprops = dict(arrowstyle = '-', connectionstyle = 'angle,angleA=-90,angleB=180,rad=5'))plt.grid()
def rate_difference_df (index, tickers):rate_diff_df = tickers.copy(deep = True)for j in tickers.columns:rate_diff_df[j] = tickers[j] - indexrate_diff_df = rate_diff_df.dropna()return rate_diff_df
def annual_analysis(ticker, yearlen = 10, end = datetime.now(), with_number = False):sns.set_style('whitegrid')start = datetime(end.year - yearlen,1,1)tick_rate = web.DataReader(ticker,'yahoo',start,end)['Adj Close'].pct_change()snp = web.DataReader('^GSPC', 'yahoo', start, end)['Adj Close'].pct_change()tick_diff = (tick_rate-snp)*100tick_diff = tick_rate.dropna()tick_diff_df = pd.DataFrame(tick_diff)tick_diff_df['date'] = tick_diff_df.indextick_diff_df['year'] = tick_diff_df.date.dt.yeartick_diff_df['month'] = tick_diff_df.date.dt.month
sns.set_theme()piv_tick = tick_diff_df.pivot_table(index='month', columns='year', values='Adj Close',aggfunc=np.sum)piv_tick = piv_tick.round(decimals=2)f, ax = plt.subplots(figsize=(12, 10))plt.title(f'{ticker} - S&P 500 Monthly Change Rate for {yearlen} Years')sns.heatmap(piv_tick, annot=with_number, linewidths=.5, ax=ax, cmap='RdYlGn')plt.show()
annual_analysis('BRK-A', with_number=True)'CodingPython' 카테고리의 다른 글
lambda,list (0) 2022.01.31 kaggle study1__rapids umap tfidf kmean (0) 2022.01.20 얼굴인식에 대한 단상 (0) 2022.01.12 make_pipeline 의 문제점? 다양한 모델 (0) 2022.01.09 GradientBoostingClassifierTOcorrelationTOheatmap (0) 2022.01.08