-
https://towardsdatascience.com/derivative-of-the-softmax-function-and-the-categorical-cross-entropy-loss-ffceefc081d1
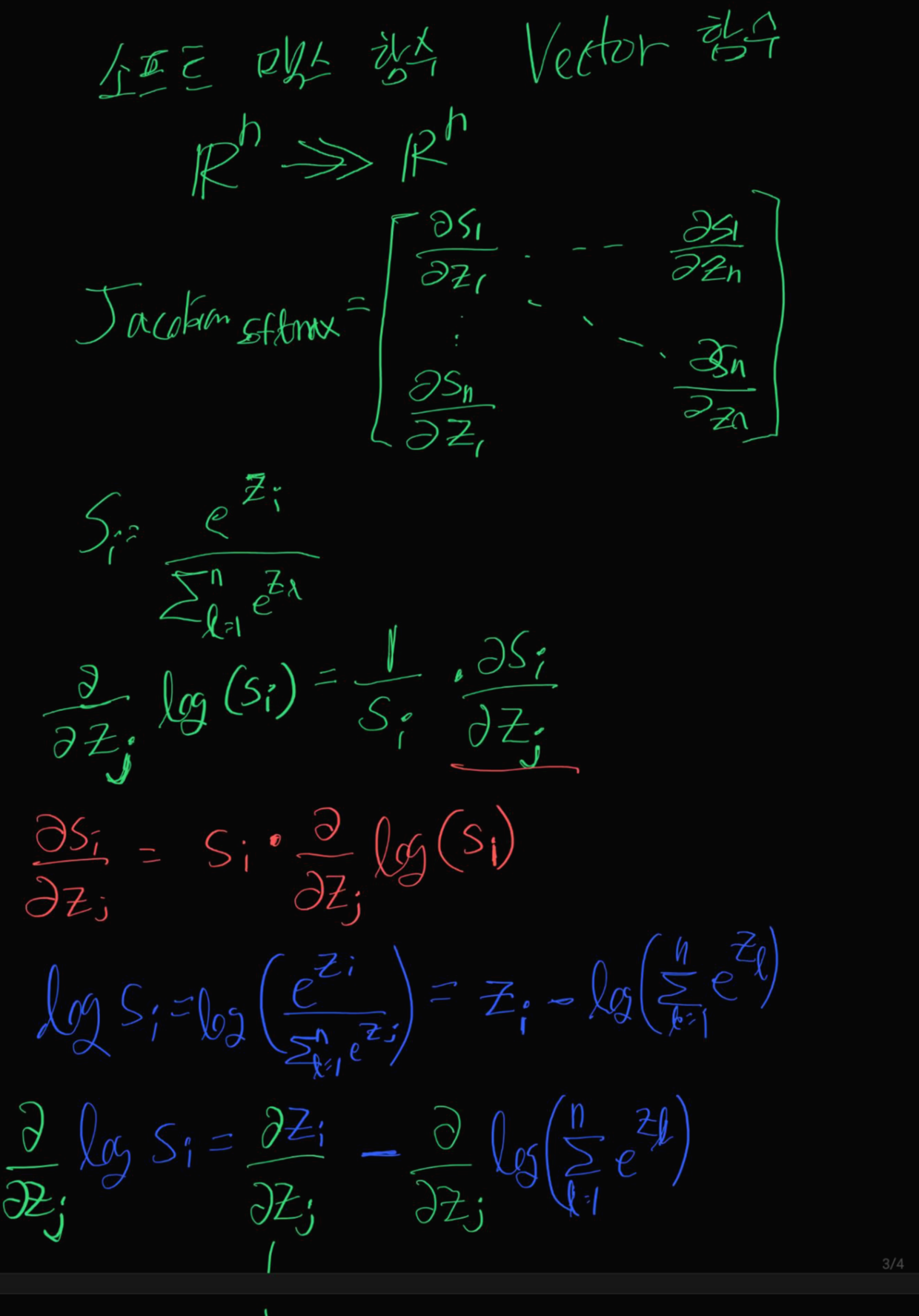
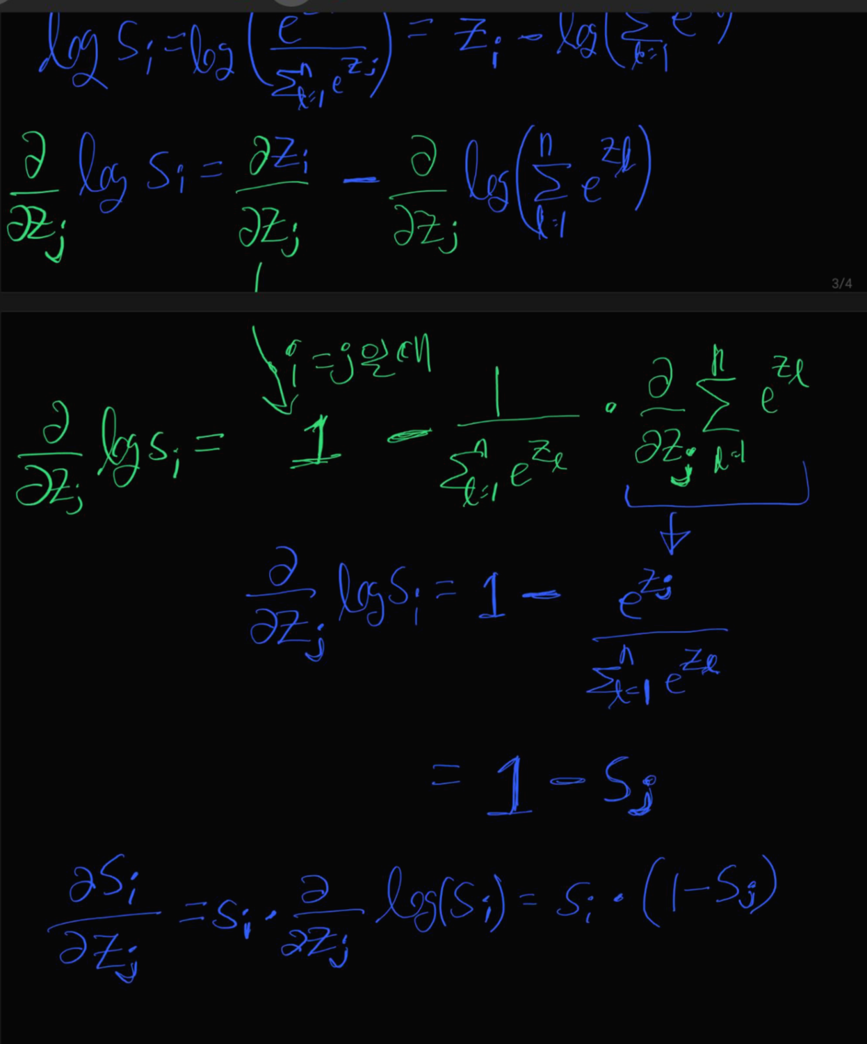
소프트 맥스는 출력값에 log 를 취해서 그것의 도함수를 이용한다.
그래서, 더 좋은 부분이 있다.