-
cs231n>>lecture. 11카테고리 없음 2022. 2. 21. 12:08


행과 열의 개수 ==> 파라미터 수
파라미터수는 적게 하고, 결과(out put 벡터 )는 많이 뽑는 연산(Upsampling)
a 벡터 = 인풋 벡터




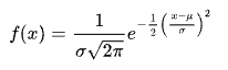
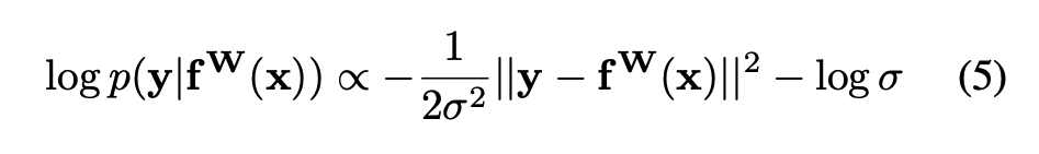
뉴럴 네트워크의 아웃풋이 fW(x) 라 한다. 확률을 --> 가우시안으로 continuous 데이터를 받는다.
discrete 데이터 = 범주형 데이터
observation NOise 파라미터 --> sigma

분류문제를 스칼라값으로 squash 할 수 있음

가우시안 분포의 notation 이 다음과 같다




시그마 = trainable param.
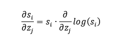
위 의 두 식에서 , 유사성 파악 가능 .


| 는 결합(joint) 확률을 의미하므로,
continuous 한 조건들을 받았을때ㅡ y1 을 추정하는 가우시안 우도 함수와
소프트맥스( fW(x) 와 시그마2를 continuous 한 조건으로 받았을때, y2을 추정하는 softmax) 를 곱한다
(각각 독립이라 가정, 시행수 충분--> 독립)


왜 diagonal 만?????????












